理科工具 占存:9.87 MB 时间:2017-10-27
软件介绍: MathType是一款强大的数学公式编辑器,可以在各种文档中加入复杂的数学公式和符号,可用在...
MathType是一款常被用来编辑数学公式以及符号的软件,那么各位个伙伴们知道MathType如何输入三角函数吗?如果还不了解,那就看一看下文MathType输入三角函数的操作步骤吧。
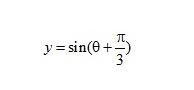
例如:

详细操作如下:
1.打开MathType,按键盘用字母输入“y=sin”和括号。

2.光标放在括号中,在MathType工具栏中的希腊字母模板中选择输入,也可以直接在MathType的工具栏中点选即可。

3.输入“+”,选择分式与根式模板中的标准分式模板,在分子上输入,输入方法与的方法相同,再输入分母就可以了。

学完本文MathType输入三角函数的操作步骤,是不是觉得以后操作起来会更容易一点呢?