很多人不知道SPSS如何制作分布直方图?今日为你们带来的文章是SPSS制作分布直方图的方法,还有不清楚小伙伴和小编一起去学习一下吧。
第一步:首先我们点击菜单上的图形选项--图表构建程序--点击确定(如图所示)。

第二步:然后我们选择直方图(条形图、散点图、饼图都在这里选择),拖到右上方区域,设置X轴Y轴(如图所示)。

第三步:这里我们要注意一般X轴是变量的连续数值,Y轴表示变量的频率,比如X轴表示月份,Y轴表示每个月份新增客户数量(如图所示)。

第四步:接着我们勾选正态曲线绘制,点击应用,在预览图中有一个曲线(如图所示)。

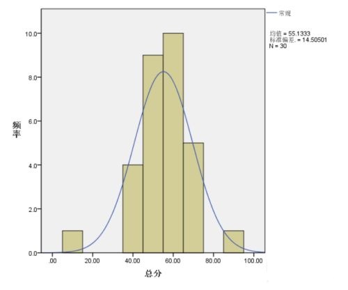
第五步:最后我们点击确定,输出频数分布直方图(如图所示)。

以上就是小编给大家带来的SPSS如何制作分布直方图的全部内容,希望能够帮助到大家哦。